AP物理2考试大纲点评
我们先看一下CB官方大纲要求大家掌握的关于流体的知识:

Fluid大纲
上图给我们大致展示了第一单元流体的学习内容,老师接下来要展开的常考点都会以大纲内容作为基础进行展开。 流体这一单元,同学们重点学习到的内容有密度概念、压强概念、流体静压强公式、浮力、连续性方程和伯努利方程。老师简单在这里做了下汇总,如果大家也想拿到这样的公式导图的复习资料,可以直接去文末领取。
Fluid常考公式汇总
上图已经为我们展示了流体常考的一些公式,那接下来我们看一下物理2在本单元涉及到的考点吧。AP物理2考试五大考点梳理
考点一:利用流体静压强公式去分析压强分布。
?例题解析:
相同,因此,液体深度越大,压强越大,X的放置方式,流体的深度最大,因此答案为A选项。
考点二:利用流体压强求力,并结合牛顿定律进行综合求解。
?例题解析:
,再将面积和大气压带入式子,即可求解。
考点三:利用浮力公式,结合牛顿定律对物体进行受力分析。
?例题解析:
这道题目是利用牛顿第一定律,考察了物体的受力平衡。其中和物理2结合的考点便为物体受到的浮力以及物体的密度。钢条和船的总重力等于钢条和船受到的浮力。钢条的质量可以用体积乘以密度展开,浮力可以利用
进行展开,再代入表达式具体求解即可。
考点四:利用连续性方程,对流体流速进行分析。
?例题解析:
,右端两个口尺寸一样,所以
,根据流量公式
,带入题目数据,即
可得出出口流速是入口流速的8倍。
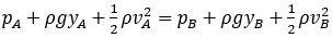
考点五:利用伯努利方程,对流体进行流速、压强等物理量的分析计算。
?例题解析:
求解得出水流在出口B的速度大小,再利用伯努利方程
,求出水流在出口B的压强大小。
物理2在考察伯努利方程时,特别喜欢结合连续性方程一起结合考察。因此,如果同学们如果在列出伯努利方程之后,发现未知数依旧缺少时,千万不要忘了还有连续性方程可以弥补哦~
AP物理2考试总结
以上就是AP物理2第一单元经常考到的一些典型的题目了,相信大家对于从哪些考点和题目具体进行下手复习有一定了解。之后我们会继续带大家梳理完全部物理2的单元考点分析,敬请期待。本文作者

TD福利&领取方式
为了帮助同学们顺利备考,TD为大家准备了AP物理2的备考神器—《AP物理2公式导图》,扫描下方二维码添加小马甲微信,并发送暗号【物理2公式导图】即可免费领取哦~相信这份资料一定会给大家物理2的复习带来非常大的帮助~
封面预览


推荐阅读






